近日,我院夏宁邵教授团队在《柳叶刀》子刊《柳叶刀-区域健康(西太平洋)》(The Lancet Regional Health – Western Pacific)上发表了题为“Naturally acquired HPV antibodies against subsequent homotypic infection: A large-scale prospective cohort study”的研究论文。该研究通过分析自然人群队列中人乳头瘤病毒(HPV)16/18型不同血清抗体状态人群在5年半随访期内新发同型HPV感染的发病率,证明HPV自然感染获得的中和抗体可降低再次感染同型HPV的风险,为进一步优化HPV疫苗接种策略提供了重要依据。

宫颈癌是全球15-44岁女性中第二常见的癌症,其主要病因是高危型HPV的感染,尤其是HPV 16型和18型的感染,在我国与约84%的宫颈癌有关。目前,全球已有4种安全有效的预防性HPV疫苗上市,但由于价格及产能限制,阻碍了疫苗的推广应用,尤其是在宫颈癌疾病负担重而资源有限的发展中国家。因此,基于成本-效益分析的HPV疫苗接种策略的制定对实现世界卫生组织2030年消除宫颈癌的全球战略目标具有重要意义。疫苗成本-效益分析的主要工具是不同的数学模型,而HPV自然免疫状态及其对后续感染的影响是建模的重要参数之一。
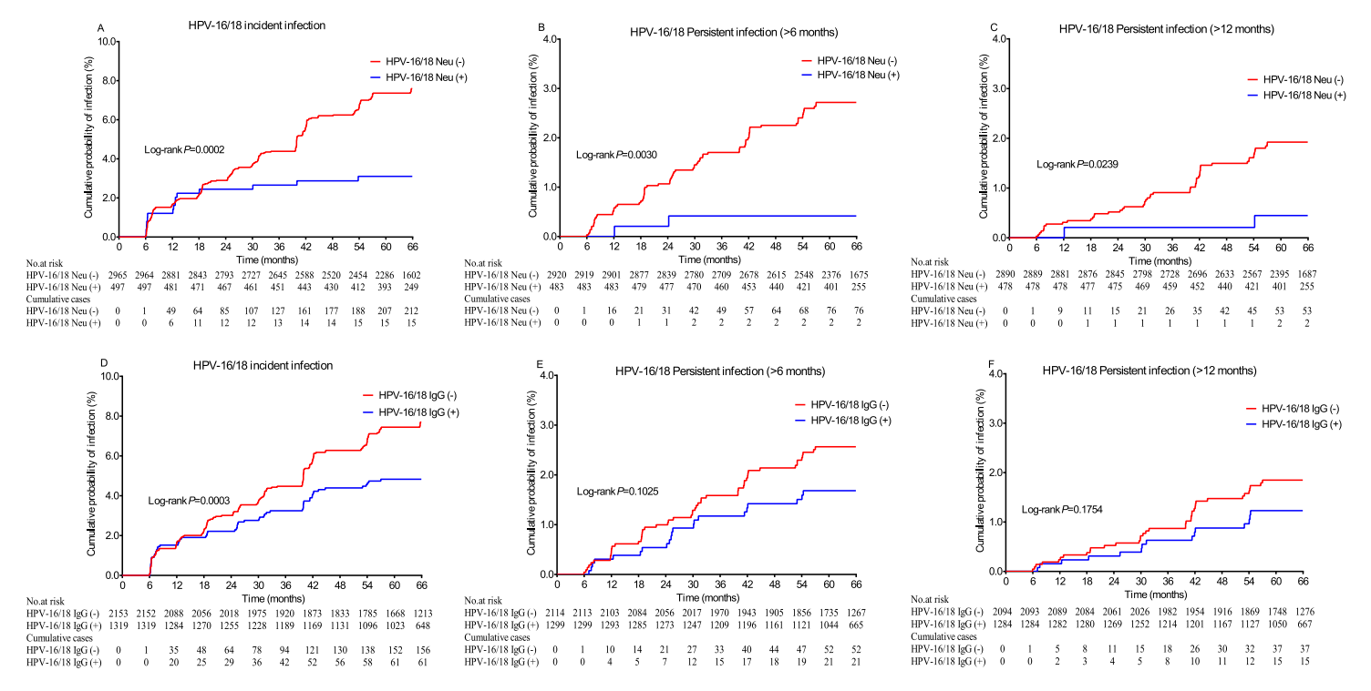
早期研究显示因自然免疫获得抗体的女性再次感染同型HPV的风险降低较为有限(约35%),但在这些研究中多依据IgG抗体而非中和抗体作为自然免疫指标进行保护效果分析。我院研究人员利用国产双价HPV疫苗III期临床试验中未接种HPV疫苗且HPV DNA为阴性的3600余名18-45岁健康女性队列,分别采用中和抗体和IgG抗体作为获得自然免疫的指标,分析其在之后5.5年的随访期间再次感染同型HPV的风险。结果显示,HPV 16/18型中和抗体阳性女性再次发生同型持续性感染的风险比中和抗体阴性者降低了84%,而与既往研究结果类似,HPV 16/18型IgG抗体阳性女性的这一风险降低了34%。该研究首次在大样本长期随访队列中以中和抗体作为免疫指标评价HPV自然免疫效果,获得了客观准确的HPV自然免疫数据,丰富了HPV自然史研究,为HPV疫苗接种策略的制订提供了重要依据。

我院博士生姚星妹、中国医学科学院肿瘤医院陈汶教授和北京大学人民医院赵超教授为该论文共同第一作者。我院吴婷教授、张军教授、夏宁邵教授和中国医学科学院肿瘤医院乔友林教授、赵方辉教授为该论文的共同通讯作者。该研究获得国家自然科学基金、福建省卫生教育联合攻关计划项目、厦门市科技重大专项、中国医学科学院医学科学创新基金和厦门万泰沧海生物技术有限公司的支持。
论文链接:https://www.sciencedirect.com/science/article/pii/S266660652100105X
(图/文 国家工程中心)